2023-02-10 10:02:56 来源: 上海商报
(资料图片)
我们在看了对排列组合的介绍,发现只有定义与公式,这完全就是是程序化的说明,发现自己理解特别的费力。
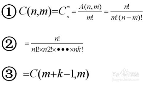
像这样排列有两种定义,不过计算方法是只有一种的,凡是符合这两种定义的都用这种方法计算。前提条件是m≦n,m与n均为自然数。
当我们从n个不同元素中,取出m个元素的所有排列的个数,这个就叫做从n个不同元素中取出m个元素的排列数。
我们从n个不同元素里,任意取m个元素按照一定的顺序排成一列,这就叫做从n个不同元素中取出m个元素的一个排列。
我们用具体的例子来理解上面的定义:4种颜色按不同的颜色进行排列,有多少种排列方法,如果是6种颜色呢。如果从6种颜色中取出4种进行排列呢。
解:A(4,4)=4x(4-1)x(4-2)x(4-3)x(4-4+1)=4x1x2x3x1=24;A(6,6)=6x5x4x3x2x1=720;A(6,4)=6!/(6-4)!=(6x5x4x3x2x1)/2=360。
1.像这样排列有两种定义,不过计算方法是只有一种的。
2.从n个不同元素里,任意取m个元素按照一定的顺序排成一列,这就叫做从n个不同元素中取出m个元素的一个排列。
3.我们在看了对排列组合的介绍,发现只有定义与公式,这完全就是是程序化的说明,发现自己理解特别的费力。
END










































































































































































































END